CASCOLA VERDE DELLE OLIVE. RICERCA 2017 – 2018
Uno studio di Giovanni Alberton, in collaborazione con Andrea Capuzzo, Enzo Gambin e Andrea Minuto.
Gli olivicoltori della Pedemontana Veneta, nel corso dell’ annata 2017, hanno subìto notevoli danni da una nuova patologia che ha provocato una cascola di olive che per diffusione e severità non ha precedenti a memoria d’uomo e pochi riscontri a livello scientifico e bibliografico.
All’esame dei fatti, il problema pur essendosi manifestato nella sua forma più palese e virulenta nell’ultima annata agraria, ha probabilmente radici che possono risalire almeno al 2015.
2015: anno di forte attacco di mosca olearia, con primi sintomi evidenti di Lebbra delle Olive sporadiche cascole di olive verdi (non identificata la patologia, attribuita a Lebbra asintomatica) Forse iniziali infezioni da Phoma sp., comunque con danni economicamente irrilevanti.
2016: anno con forte manifestazione di Lebbra delle Olive, scambi di impressioni sui rilievi di campagna, errata attribuzione a “carenze” nutrizionali, cure efficaci coadiuvate da concimazioni fogliari con Fosfonato di Sodio, aumento della cascola “al verde” sospetto che il problema non sia del tutto attribuibile a Lebbra (vedi pubblicazione sito Alfaservizi srl del 20/12/2016). Mancata individuazione del patogeno da esami degli organi preposti.
2017: la cascola inizia improvvisamente nella seconda metà di giugno, attribuita quasi subito a un patogeno diverso dalla Lebbra del 2016 in quanto le olive cadevano anche in assenza di lesioni necrotiche al frutto. Si intensificano le osservazioni e si iniziano i primi trattamenti sperimentali. (vedi elenco). A fine giugno si contatta il CERSAA di Albenga e si inviano le prime immagini di olive cascolate, successivamente si decide di procedere ad analisi di laboratorio (finanziate dalla Coop. Spazio). A fine agosto giungono i risultati delle prime analisi di laboratorio: sulla quasi totalità delle olive cadute ed esaminate viene isolato il fungo patogeno del genere PHOMA.
A novembre si proseguono le analisi (finanziate dall’ AIPO) per verificare la persistenza del fungo.

SINTOMATOLOGIA
Dopo l’allegagione, dalle dimensioni del frutto di un grano di pepe (BBCH 69- 71) il picciolo assume un colore verde-chiaro tendente al giallognolo, dopo 1-2 giorni a un lieve tocco manuale o di vento le olivette cadono, dopo 3-4 giorni la cascola è quasi totale anche senza interventi esterni. Altri frutti palesano necrosi simili a quelle della Lebbra, quindi possono disseccare totalmente e successivamente cadere. Le drupe sopravvissute presentano una invaiatura anticipata che quasi sempre prelude ad una ulteriore cascola.
NOTE FITOPATOLOGICHE
Patologia da deuteromiceti
PHOMA SPECIES (Generis) circa 140 specie
Altri Fungini: PYTHIUM -APHANOMICES RHIZOCTONIA soprattutto piante da seme erbacee, raramente su piante fruttifere legnose foglie con macchie necrotiche, necrosi e marciume del colletto. PHOMA sp.
Ciclo biologico: in genere i funghi riconducibili al genere Phoma formano picnidi su tessuti sia verdi che legnosi. La diffusione dei conidi emessi dai corpi fruttiferi avviene principalmente attraverso l’acqua. Raggiunto l’ospite, i conidi, germinano, infettando attraverso microferite foglie, piccioli, rametti etc., potendo infettare anche attraverso aperture naturali quali stomi e lenticelle. Allo stato delle conoscenze attuali non sono ancora disponibili informazioni precise circa il ciclo epidemiologico della malattia.
Resta comunque evidente la possibilità per il patogeno di permanere sulle drupe infette cadute a terra, potendo molto probabilmente, conservarsi sino alla stagione successiva.
LOTTA
Prescrizioni generali da letteratura per tutte le colture arboree sensibili a Phoma sp.
– necessaria potatura primaverile, asportando soprattutto i rami colpiti;
– da novembre a giugno trattamenti ripetuti con: mancozeb, triazoli, rameici.
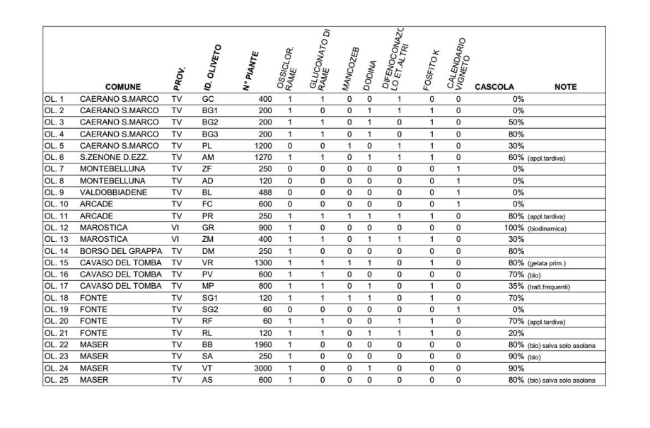
L’attività di monitoraggio 2017 è stata riassunta e condensata nella seguente tabella, che risente ovviamente di alcune standardizzazioni necessarie per poter comparare i dati. Come spesso accade in tutti i campi biologici, la colonna delle annotazioni sarebbe dovuta essere molto affollata.
Il livello di affidabilità delle informazioni rappresenta il massimo ottenibile in situazioni non predisposte a ciò fin dall’ inizio, conforta comunque l’ampiezza delle rilevazioni, 40.000 piante in quasi 50 oliveti, monitorate con il medesimo sistema.
Nella prima colonna il numero progressivo dell’oliveto monitorato.
Seconda e terza colonna, comune e provincia
Quarta e quinta colonna, la sigla identificativa del proprietario o del conduttore (per motivi di privacy non vengono riportati i nominativi), il numero di piante dell’appezzamento.
Nelle colonne seguenti i principi attivi impiegati, dove “0” indica il non utilizzo e “1” l’utilizzo.
La penultima colonna riporta la percentuale di olive cadute, calcolata sulle drupe presenti subito dopo la fioritura prima dell’inizio dei sintomi.
L’ ultima colonna riporta alcune indispensabili annotazioni quando l’oliveto presenta particolarità che possono aver influenzato il risultato finale.


OSSERVAZIONI DI CAMPO SULL’ EFFICACIA DELLE VARIE APPLICAZIONI
Dall’ attività in campagna, si può giungere a delle prime determinazioni.
a) sono risultate efficaci solo le applicazioni preventive o molto tempestive rispetto al manifestarsi dei sintomi;
b) è stata osservata una correlazione positiva tra l’impiego di triazoli specifici e il contenimento della malattia;
c) è stata rilevata una bassissima cascola su piante singole inserite a solo scopo paesaggistico/ornamentale tra i filari di vigneti normalmente trattati (ovvero con olive non destinate alla trasformazione);
d) appaiono meno efficaci ma comunque utili, associazioni di zolfo bagnabile (Bio);
e) un significativo contenimento della cascola anche in oliveti non trattati con triazoli o zolfi mantenuti costantemente sotto copertura rameica, integrata da rame con azione citotropica (gluconato);
f) prodotti registrati specificatamente per la lebbra, applicati anche ai primi sintomi di cascola, non hanno sortito effetti apprezzabili.


OSSERVAZIONI SULLA DISTRIBUZIONE GEOGRAFICA
La zona colpita è indubbiamente ampia, tanto da interessare, per rilievo diretto, tutta la fascia pedemontana veneta. Per contatti professionali, in assenza di esami di laboratorio, Puglia, Toscana, Marche, Umbria, su plaghe più o meno vaste. L’Abruzzo e la Liguria sembrano non aver subito danni.
Da notare che all’interno della zona monitorata, si sono constatati singoli oliveti indenni o quasi, senza poter attribuirvi differenze varietali o di trattamento, distribuiti a macchia di leopardo. Ad esempio, nei territori di Pove, Semonzo, Colline di Montebelluna.
OSSERVAZIONI SULLE RESISTENZE VARIETALI
Non tutte le varietà sono sensibili in maniera uguale al patogeno, dai rilievi di campagna sono state monitorate con apprezzabile precisione la diversa resistenza o sensibilità.

Si è inoltre constatato che le piante giovani, fino a 5/7 anni di età, hanno generalmente palesato una resistenza o comunque una minore cascola rispetto alle stesse varietà di età più avanzata. Non vi sono attualmente certezze per attribuire una spiegazione scientifica a questa ripetuta osservazione, anche se, appurato che l’infezione del fungo avviene soprattutto attraverso ferite da raccolta o potatura, è plausibile che le piante giovani non generalmente oggetto di raccolta con abbacchiatori particolarmente invasivi e di grossi tagli di potatura, abbiano offerto meno vie di accesso al fungo.
COSA RIMANE DA FARE
Individuato il patogeno, osservato alcune sue caratteristiche specifiche nel modo di azione, avendo stabilito la maggiore o minore efficacia di alcuni prodotti fitosanitari, rimane ancora moltissimo lavoro da fare.
Come ad esempio:
– stabilire un protocollo comune per i controlli, da far adottare ai Tecnici dei vari organismi che a vario titolo si interessano di Olivicoltura (Associazioni, Cooperative, Frantoi, Enti pubblici, Università, ditte private, etc.), per incrementare e standardizzare il numero di rilievi sul campo;
– determinare le eventuali interazioni del fungo con altri patogeni già presenti e conosciuti;
– stabilire le precise fasi fenologiche di intervento fissando il minimo di trattamenti richiesti;
– richiedere l’estensione di applicazioni (usi eccezionali) per alcuni prodotti fitosanitari data la carenza di molecole disponibili, supportandone l’iter autorizzativo presso i Ministeri preposti;
– organizzare prove comparative di efficacia dei vari principi attivi già disponibili e sperimentali;
– provare delle soluzioni a basso impatto ambientale (funghi antagonisti, induttori di resistenza, etc,) per un approccio non solo “chimico” al problema e per fornire soluzioni anche alla conduzione in biologico.
Si tratta di una fase di lavoro che eccede la “buona volontà” dei consulenti di campo e dei distributori di mezzi tecnici, sarà compito delle Associazioni ricercare i finanziamenti necessari per il prosieguo delle ricerche, coordinare le varie attività, per giungere a dei protocolli di lotta condivisi ed efficaci.
Il presente studio, sunto delle osservazioni sul campo nel corso della normale attività di consulenza olivicola, non presenta certo i requisiti di attività sperimentale ma è sicuramente un primo incoraggiante passo nel difficile cammino per ottenere l’extra vergine della Pedemontana Veneta nelle quantità e qualità che il mercato ha sempre riconosciuto e apprezzato.